Domina las matemáticas sin complicaciones
Haz que los números trabajen para ti con ejercicios diseñados para aprender más rápido y con confianza
Simplificamos las matemáticas para que sean claras y accesibles con ejercicios personalizados y adaptados a tu nivel.
Ejercícios personalizados que se adaptan a tu ritmo
Soluciones claras y explicaciones paso a paso
Ejercicios prácticos diseñados para cada nivel
Ejemplos Gratuitos de Ejercicios
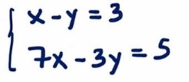
Ejemplo Ejercicio 2ºESO
Aqui tienes un ejemplo de ejercicio de sistemas de ecuaciones.
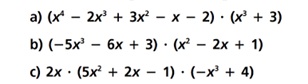
Ejemplo Ejercicio 3ºESO
Ejemplo de ejercicio de Polinomios de 3ºESO
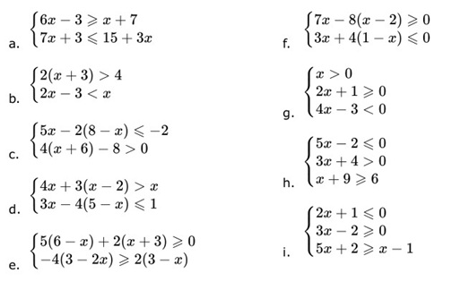
Ejemplo Ejercicio 4ºESO
Aqui tienes otro ejemplo de ejercicio de inecuaciones.
Domina las matemáticas sin complicaciones
Haz que los números trabajen para ti con ejercicios diseñados para aprender más rápido y con confianza
Ejercícios personalizados que se adaptan a tu ritmo
Soluciones claras y explicaciones paso a paso
Ejercicios prácticos diseñados para cada nivel




